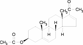
16-Dehydropregnenolone acetate

CAS Number979-02-2
FormulaC23H32O3
Mol. Weight356.50 g/mol
16-Dehydropregnenolone acetate
What is 16-Dehydropregnenolone acetate?
16-Dehydropregnenolone acetate is a chemical compound with CAS number 979-02-2 and molecular formula C23H32O3. It is used in various industrial and research applications.
Specifications
Molecular Weight
356.50 g/mol
Assay/Purity
≥95%
