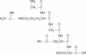
Gly-Arg-Gly-Asp-Ser

CAS Number96426-21-0
FormulaC17H30N8O9
Mol. Weight490.47 g/mol
Gly-Arg-Gly-Asp-Ser
What is Gly-Arg-Gly-Asp-Ser?
Gly-Arg-Gly-Asp-Ser is a chemical compound with CAS number 96426-21-0 and molecular formula C17H30N8O9. It is used in various industrial and research applications.
Specifications
Molecular Weight
490.47 g/mol
Assay/Purity
≥97% (HPLC)
