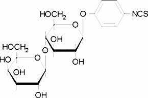
β-D-Lactopyranosylphenyl isothiocyanate

CAS Number96324-93-5
FormulaC19H25NO11S
Mol. Weight475.47 g/mol
β-D-Lactopyranosylphenyl isothiocyanate
What is β-D-Lactopyranosylphenyl isothiocyanate?
β-D-Lactopyranosylphenyl isothiocyanate is a chemical compound with CAS number 96324-93-5 and molecular formula C19H25NO11S. It is used in various industrial and research applications.
Specifications
Molecular Weight
475.47 g/mol
Safety Information
GHS07
GHS08Signal Word
Danger
Hazard Statements
H302-H312-H315-H317-H319-H332-H334-H335
Precautionary Statements
P261-P280-P305 + P351 + P338-P342 + P311
Required PPE
dust mask type N95 (US), Eyeshields, Faceshields, Gloves
WGK Germany
3
