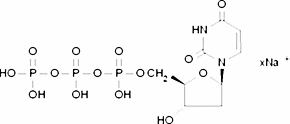
2′-Deoxyuridine 5′-triphosphate sodium salt solution

CAS Number94736-09-1
FormulaC9H15N2O14P3 · xNa+
Mol. Weight468.14 (free acid basis) g/mol
2′-Deoxyuridine 5′-triphosphate sodium salt solution
What is 2′-Deoxyuridine 5′-triphosphate sodium salt solution?
2′-Deoxyuridine 5′-triphosphate sodium salt solution is a chemical compound with CAS number 94736-09-1 and molecular formula C9H15N2O14P3 · xNa+. It is used in various industrial and research applications.
Applications
Used in conjunction with uracil DNA glycosylase to prevent carryover contamination in PCR. The dUTP is substituted for dTTP in the PCR reaction.
Specifications
Molecular Weight
468.14 (free acid basis) g/mol
Assay/Purity
≥99%
