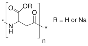
Poly-(α,β)-DL-aspartic acid sodium salt

CAS Number94525-01-6
FormulaN/A
Poly-(α,β)-DL-aspartic acid sodium salt
What is Poly-(α,β)-DL-aspartic acid sodium salt?
Poly-(α,β)-DL-aspartic acid sodium salt is a chemical compound with CAS number 94525-01-6. It is used in various industrial and research applications.
