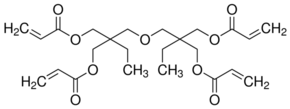
Di(trimethylolpropane) tetraacrylate

CAS Number94108-97-1
FormulaN/A
Mol. Weight466.52 g/mol
Di(trimethylolpropane) tetraacrylate
What is Di(trimethylolpropane) tetraacrylate?
Di(trimethylolpropane) tetraacrylate is a chemical compound with CAS number 94108-97-1. It is used in various industrial and research applications.
Specifications
Linear Formula
[(H2C=CHCO2CH2)2C(C2H5)CH2]2O
Molecular Weight
466.52 g/mol
Density
1.101 g/mL at 25 °C(lit.)
