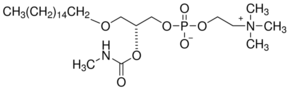
1-O-Palmitol-2-(N-methylcarbamyl)-sn-glycero-3-phosphocholine

CAS Number91575-58-5
FormulaC26H55N2O7P
Mol. Weight538.70 g/mol
1-O-Palmitol-2-(N-methylcarbamyl)-sn-glycero-3-phosphocholine
What is 1-O-Palmitol-2-(N-methylcarbamyl)-sn-glycero-3-phosphocholine?
1-O-Palmitol-2-(N-methylcarbamyl)-sn-glycero-3-phosphocholine is a chemical compound with CAS number 91575-58-5 and molecular formula C26H55N2O7P. It is used in various industrial and research applications.
Specifications
Molecular Weight
538.70 g/mol
Assay/Purity
≥98% (TLC)
Solubility
H2O: soluble20 mg/mL
