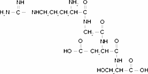
Arg-Gly-Asp-Ser

CAS Number91037-65-9
FormulaC15H27N7O8
Mol. Weight433.42 g/mol
Arg-Gly-Asp-Ser
What is Arg-Gly-Asp-Ser?
Arg-Gly-Asp-Ser is a chemical compound with CAS number 91037-65-9 and molecular formula C15H27N7O8. It is used in various industrial and research applications.
Specifications
Molecular Weight
433.42 g/mol
Assay/Purity
≥95% (HPLC)
