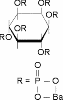
Phytic acid hexabarium salt

CAS Number90940-73-1
FormulaC6H6Ba6O24P6
Mol. Weight1471.90 g/mol
Phytic acid hexabarium salt
What is Phytic acid hexabarium salt?
Phytic acid hexabarium salt is a chemical compound with CAS number 90940-73-1 and molecular formula C6H6Ba6O24P6. It is used in various industrial and research applications.
Specifications
Molecular Weight
1471.90 g/mol
Safety Information
GHS07Signal Word
Warning
Hazard Statements
H302-H312-H332
Precautionary Statements
P280
Required PPE
dust mask type N95 (US), Eyeshields, Gloves
WGK Germany
3
