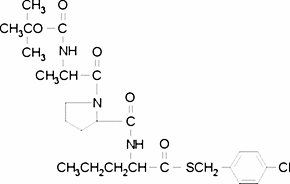
Boc-Ala-Pro-Nva p-chlorothiobenzyl ester

CAS Number90171-50-9
FormulaC25H36ClN3O5S
Mol. Weight526.09 g/mol
Boc-Ala-Pro-Nva p-chlorothiobenzyl ester
What is Boc-Ala-Pro-Nva p-chlorothiobenzyl ester?
Boc-Ala-Pro-Nva p-chlorothiobenzyl ester is a chemical compound with CAS number 90171-50-9 and molecular formula C25H36ClN3O5S. It is used in various industrial and research applications.
Specifications
Molecular Weight
526.09 g/mol
