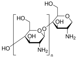
Chitosan

CAS Number9012-76-4
FormulaN/A
Chitosan
What is Chitosan?
Chitosan is a chemical compound with CAS number 9012-76-4. It is used in various industrial and research applications.
Applications
Forms gels with multivalent anions. Gives clear solutions that dry to strong, clear films.
Specifications
Assay/Purity
≥75% (deacetylated)
Impurities
≤1% insoluble matter
Solubility
acetic acid: water: soluble10 mg/mL, hazy (with extensive sonication)
H2O: insoluble
organic solvents: insoluble
