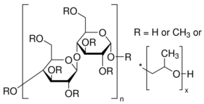
(Hydroxypropyl)methyl cellulose

CAS Number9004-65-3
FormulaN/A
(Hydroxypropyl)methyl cellulose
What is (Hydroxypropyl)methyl cellulose?
(Hydroxypropyl)methyl cellulose is a chemical compound with CAS number 9004-65-3. It is used in various industrial and research applications.
Applications
(Hydroxypropyl)methyl cellulose (HPMC), an inert viscoelastic polymer is used as an emulsifier, thickening and suspending agent similar to animal gelatin. HPMC is used in the development of controlled-delivery medicament.
Specifications
Solubility
H2O: soluble10 mg/mL, clear to almost clear, colorless
