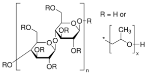
Hydroxypropyl cellulose

CAS Number9004-64-2
FormulaN/A
Hydroxypropyl cellulose
What is Hydroxypropyl cellulose?
Hydroxypropyl cellulose is a chemical compound with CAS number 9004-64-2. It is used in various industrial and research applications.
Specifications
Impurities
<5 wt. %
Density
0.5 g/mL at 25 °C(lit.)
Solubility
H2O: insoluble (above 45 °C)
polar organic solvents: soluble
