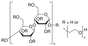
Hydroxyethyl-cellulose

CAS Number9004-62-0
FormulaN/A
Hydroxyethyl-cellulose
What is Hydroxyethyl-cellulose?
Hydroxyethyl-cellulose is a chemical compound with CAS number 9004-62-0. It is used in various industrial and research applications.
Applications
Hydroxyethylcellulose is used as a gelling and thickening agent in the development of biostructures for the delivery of hydrophobic drugs. Hydroxyethylcellulose is used in the development of polymer networks and block copolymers useful in separation technology such as capillary electrophoresis and in biofilms and coatings.
Specifications
Density
0.6 g/mL at 25 °C(lit.)
