Ethyl cellulose

CAS Number9004-57-3
FormulaN/A
Ethyl cellulose
What is Ethyl cellulose?
Ethyl cellulose is a chemical compound with CAS number 9004-57-3. It is used in various industrial and research applications.
Applications
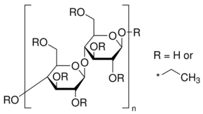
Ethyl cellulose is generated by converting a variable number of hydroxyl groups on the repeating glucose units to ethyl ether groups. Ethylcellulose is used in the preparation of biostructures such as matrices, microspheres, microparticles, pellets and tablets for use in drug delivery.
Specifications
Density
1.14 g/mL at 25 °C(lit.)
