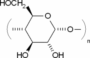
Dextrin from corn

CAS Number9004-53-9
FormulaN/A
Dextrin from corn
What is Dextrin from corn?
Dextrin from corn is a chemical compound with CAS number 9004-53-9. It is used in various industrial and research applications.
Specifications
Grade
commercial grade
Impurities
≤5% Reducing sugar
