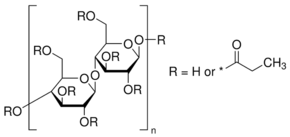
Cellulose propionate

CAS Number9004-48-2
FormulaN/A
Cellulose propionate
What is Cellulose propionate?
Cellulose propionate is a chemical compound with CAS number 9004-48-2. It is used in various industrial and research applications.
Specifications
Density
1.22 g/mL at 25 °C(lit.)
