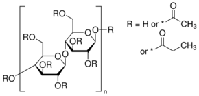
Cellulose acetate propionate

CAS Number9004-39-1
FormulaC76H114O49
Mol. Weight1811.69 g/mol
Cellulose acetate propionate
What is Cellulose acetate propionate?
Cellulose acetate propionate is a chemical compound with CAS number 9004-39-1 and molecular formula C76H114O49. It is used in various industrial and research applications.
Specifications
Molecular Weight
1811.69 g/mol
Density
1.23 g/mL at 25 °C(lit.)
