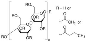
Cellulose acetate butyrate

CAS Number9004-36-8
FormulaN/A
Cellulose acetate butyrate
What is Cellulose acetate butyrate?
Cellulose acetate butyrate is a chemical compound with CAS number 9004-36-8. It is used in various industrial and research applications.
Specifications
Density
1.25 g/mL at 25 °C(lit.)
