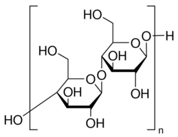
α-Cellulose

CAS Number9004-34-6
FormulaN/A
α-Cellulose
What is α-Cellulose?
α-Cellulose is a chemical compound with CAS number 9004-34-6. It is used in various industrial and research applications.

α-Cellulose is a chemical compound with CAS number 9004-34-6. It is used in various industrial and research applications.