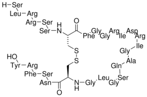
Atrial Natriuretic Peptide rat

CAS Number88898-17-3
FormulaC128H205N45O39S2
Mol. Weight3062.41 g/mol
Atrial Natriuretic Peptide rat
What is Atrial Natriuretic Peptide rat?
Atrial Natriuretic Peptide rat is a chemical compound with CAS number 88898-17-3 and molecular formula C128H205N45O39S2. It is used in various industrial and research applications.
Specifications
Molecular Weight
3062.41 g/mol
Assay/Purity
≥97% (HPLC)
