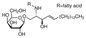
Galactocerebrosides from bovine brain

CAS Number85305-88-0
FormulaN/A
Galactocerebrosides from bovine brain
What is Galactocerebrosides from bovine brain?
Galactocerebrosides from bovine brain is a chemical compound with CAS number 85305-88-0. It is used in various industrial and research applications.
Specifications
Assay/Purity
≥97% (TLC)
