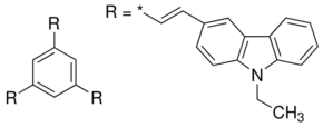
1,3,5-Tris(2-(9-ethylcabazyl-3)ethylene)benzene

CAS Number848311-04-6
FormulaN/A
Mol. Weight735.96 g/mol
1,3,5-Tris(2-(9-ethylcabazyl-3)ethylene)benzene
What is 1,3,5-Tris(2-(9-ethylcabazyl-3)ethylene)benzene?
1,3,5-Tris(2-(9-ethylcabazyl-3)ethylene)benzene is a chemical compound with CAS number 848311-04-6. It is used in various industrial and research applications.
Specifications
Molecular Weight
735.96 g/mol
Safety Information
GHS07Signal Word
Warning
Hazard Statements
H315-H319-H335
Precautionary Statements
P261-P305 + P351 + P338
Required PPE
dust mask type N95 (US), Eyeshields, Gloves
WGK Germany
3
Frequently Asked Questions
Alternative Names & Synonyms
848311-04-6, C54H45N3
