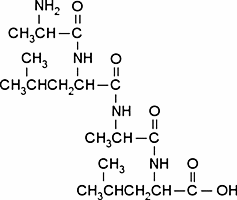
Ala-Leu-Ala-Leu

CAS Number84676-48-2
FormulaC18H34N4O5
Mol. Weight386.49 g/mol
Ala-Leu-Ala-Leu
What is Ala-Leu-Ala-Leu?
Ala-Leu-Ala-Leu is a chemical compound with CAS number 84676-48-2 and molecular formula C18H34N4O5. It is used in various industrial and research applications.
Specifications
Molecular Weight
386.49 g/mol
Assay/Purity
≥97% (HPLC)
