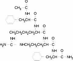
N-Acetyl-Phe-Nle-Arg-Phe amide

CAS Number83903-28-0
FormulaC32H46N8O5
Mol. Weight622.76 g/mol
N-Acetyl-Phe-Nle-Arg-Phe amide
What is N-Acetyl-Phe-Nle-Arg-Phe amide?
N-Acetyl-Phe-Nle-Arg-Phe amide is a chemical compound with CAS number 83903-28-0 and molecular formula C32H46N8O5. It is used in various industrial and research applications.
Specifications
Molecular Weight
622.76 g/mol
Assay/Purity
≥95% (HPLC)
