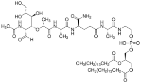
Mifamurtide

CAS Number83461-56-7
FormulaC59H109N6O19P
Mifamurtide
What is Mifamurtide?
Mifamurtide is a chemical compound with CAS number 83461-56-7 and molecular formula C59H109N6O19P. It is used in various industrial and research applications.
Applications
Mifamurtide may be used in immunological and cancer-related cell signaling studies.
Specifications
Assay/Purity
≥98% (HPLC)
Solubility
water: soluble2 mg/mL, clear (warmed)
