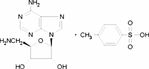
5′-Amino-5′-deoxyadenosine p-toluenesulfonate salt

CAS Number81090-75-7
FormulaC10H14N6O3 · C7H8O3S
Mol. Weight438.46 g/mol
5′-Amino-5′-deoxyadenosine p-toluenesulfonate salt
What is 5′-Amino-5′-deoxyadenosine p-toluenesulfonate salt?
5′-Amino-5′-deoxyadenosine p-toluenesulfonate salt is a chemical compound with CAS number 81090-75-7 and molecular formula C10H14N6O3 · C7H8O3S. It is used in various industrial and research applications.
Specifications
Molecular Weight
438.46 g/mol
Assay/Purity
>98% (TLC)
