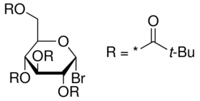
2,3,4,6-Tetra-O-pivaloyl-α-D-glucopyranosyl bromide

CAS Number81058-27-7
Formula4
Mol. Weight579.52 g/mol
2,3,4,6-Tetra-O-pivaloyl-α-D-glucopyranosyl bromide
What is 2,3,4,6-Tetra-O-pivaloyl-α-D-glucopyranosyl bromide?
2,3,4,6-Tetra-O-pivaloyl-α-D-glucopyranosyl bromide is a chemical compound with CAS number 81058-27-7 and molecular formula 4. It is used in various industrial and research applications.
Applications
K
Specifications
Molecular Weight
579.52 g/mol
Assay/Purity
≥90% (TLC)
Frequently Asked Questions
Alternative Names & Synonyms
6-Tetra-O-pivaloyl-α-D-glucopyranosyl bromide,81058-27-7, C26H43BrO9
