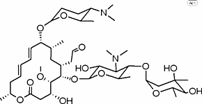
Spiramycin

CAS Number8025-81-8
FormulaN/A
Spiramycin
What is Spiramycin?
Spiramycin is a chemical compound with CAS number 8025-81-8. It is used in various industrial and research applications.
Applications
Spiramycin is a macrolide antibiotic that is commonly used to treat infections of soft tissues. It has been used to treat bronchopulmonary infections in adults 1 and has been used to study septicemia in mice 2.
