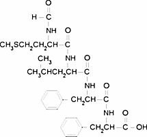
N-Formyl-Met-Leu-Phe-Phe

CAS Number80180-63-8
FormulaC30H40N4O6S
Mol. Weight584.73 g/mol
N-Formyl-Met-Leu-Phe-Phe
What is N-Formyl-Met-Leu-Phe-Phe?
N-Formyl-Met-Leu-Phe-Phe is a chemical compound with CAS number 80180-63-8 and molecular formula C30H40N4O6S. It is used in various industrial and research applications.
Specifications
Molecular Weight
584.73 g/mol
Assay/Purity
≥90% (HPLC)
