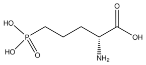
D(−)-2-Amino-5-phosphonopentanoic acid

CAS Number79055-68-8
FormulaC5H12NO5P
Mol. Weight197.13 g/mol
D(−)-2-Amino-5-phosphonopentanoic acid
What is D(−)-2-Amino-5-phosphonopentanoic acid?
D(−)-2-Amino-5-phosphonopentanoic acid is a chemical compound with CAS number 79055-68-8 and molecular formula C5H12NO5P. It is used in various industrial and research applications.
Specifications
Molecular Weight
197.13 g/mol
Safety Information
GHS07Signal Word
Warning
Hazard Statements
H315-H319-H335
Precautionary Statements
P261-P305 + P351 + P338
Required PPE
dust mask type N95 (US), Eyeshields, Gloves
WGK Germany
3
