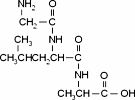
Gly-DL-Leu-DL-Ala

CAS Number78681-93-3
FormulaC11H21N3O4
Mol. Weight259.30 g/mol
Gly-DL-Leu-DL-Ala
What is Gly-DL-Leu-DL-Ala?
Gly-DL-Leu-DL-Ala is a chemical compound with CAS number 78681-93-3 and molecular formula C11H21N3O4. It is used in various industrial and research applications.
Specifications
Molecular Weight
259.30 g/mol
