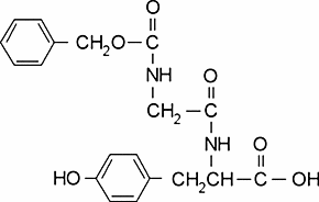
Z-Gly-Tyr

CAS Number7801-35-6
FormulaC19H20N2O6
Mol. Weight372.37 g/mol
Z-Gly-Tyr
What is Z-Gly-Tyr?
Z-Gly-Tyr is a chemical compound with CAS number 7801-35-6 and molecular formula C19H20N2O6. It is used in various industrial and research applications.
Specifications
Molecular Weight
372.37 g/mol
Assay/Purity
~95%
Safety Information
GHS09Signal Word
Warning
Hazard Statements
H400
Precautionary Statements
P273
WGK Germany
3
