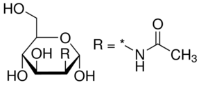
N-Acetyl-D-mannosamine

CAS Number7772-94-3
FormulaC8H15NO6
Mol. Weight221.21 g/mol
N-Acetyl-D-mannosamine
What is N-Acetyl-D-mannosamine?
N-Acetyl-D-mannosamine is a chemical compound with CAS number 7772-94-3 and molecular formula C8H15NO6. It is used in various industrial and research applications.
Applications
N-Acetyl-D-mannosamine (ManNAc) is used as a substrate to identify, differentiate and characterize enzymes such as N-acetyl-glucosamine epimerase(s) and aldolase(s). N-Acetyl-D-mannosamine is used for the synthesis of of N-acetylneuraminic acid.
Specifications
Molecular Weight
221.21 g/mol
Assay/Purity
≥98% (TLC)
