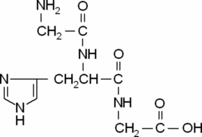
Gly-His-Gly

CAS Number7758-33-0
FormulaC10H15N5O4
Mol. Weight269.26 g/mol
Gly-His-Gly
What is Gly-His-Gly?
Gly-His-Gly is a chemical compound with CAS number 7758-33-0 and molecular formula C10H15N5O4. It is used in various industrial and research applications.
Specifications
Molecular Weight
269.26 g/mol
