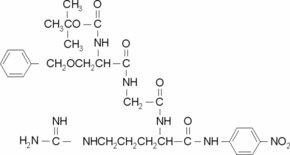
Boc-O-benzyl-Ser-Gly-Arg-p-nitroanilide

CAS Number77220-80-5
FormulaC29H40N8O8
Mol. Weight628.68 g/mol
Boc-O-benzyl-Ser-Gly-Arg-p-nitroanilide
What is Boc-O-benzyl-Ser-Gly-Arg-p-nitroanilide?
Boc-O-benzyl-Ser-Gly-Arg-p-nitroanilide is a chemical compound with CAS number 77220-80-5 and molecular formula C29H40N8O8. It is used in various industrial and research applications.
Specifications
Molecular Weight
628.68 g/mol
