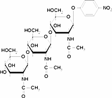
4-Nitrophenyl β-D-N,N′,N′′-triacetylchitotriose

CAS Number7699-38-9
FormulaN/A
Mol. Weight748.69 g/mol
4-Nitrophenyl β-D-N,N′,N′′-triacetylchitotriose
What is 4-Nitrophenyl β-D-N,N′,N′′-triacetylchitotriose?
4-Nitrophenyl β-D-N,N′,N′′-triacetylchitotriose is a chemical compound with CAS number 7699-38-9. It is used in various industrial and research applications.
Specifications
Molecular Weight
748.69 g/mol
Frequently Asked Questions
Alternative Names & Synonyms
7699-38-9, C30H44N4O18
