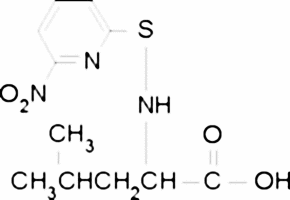
N-(3-Nitro-2-pyridinesulfenyl)-L-leucine

CAS Number76863-77-9
FormulaC11H15N3O4S
Mol. Weight285.32 g/mol
N-(3-Nitro-2-pyridinesulfenyl)-L-leucine
What is N-(3-Nitro-2-pyridinesulfenyl)-L-leucine?
N-(3-Nitro-2-pyridinesulfenyl)-L-leucine is a chemical compound with CAS number 76863-77-9 and molecular formula C11H15N3O4S. It is used in various industrial and research applications.
Specifications
Molecular Weight
285.32 g/mol
