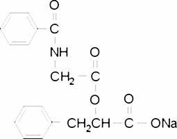
Hippuryl-DL-phenyllactic acid sodium salt

CAS Number7662-40-0
FormulaC18H16NO5Na
Mol. Weight349.31 g/mol
Hippuryl-DL-phenyllactic acid sodium salt
What is Hippuryl-DL-phenyllactic acid sodium salt?
Hippuryl-DL-phenyllactic acid sodium salt is a chemical compound with CAS number 7662-40-0 and molecular formula C18H16NO5Na. It is used in various industrial and research applications.
Specifications
Linear Formula
C18H16NO5Na
Molecular Weight
349.31 g/mol
