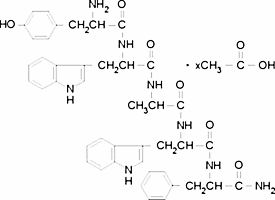
Tyr-D-Trp-Ala-Trp-D-Phe amide

CAS Number76338-79-9
FormulaC43H46N8O6
Mol. Weight770.88 g/mol
Tyr-D-Trp-Ala-Trp-D-Phe amide
What is Tyr-D-Trp-Ala-Trp-D-Phe amide?
Tyr-D-Trp-Ala-Trp-D-Phe amide is a chemical compound with CAS number 76338-79-9 and molecular formula C43H46N8O6. It is used in various industrial and research applications.
Specifications
Molecular Weight
770.88 g/mol
Assay/Purity
≥95% (HPLC)
