CHAPS

CHAPS
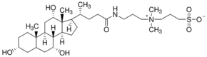
What is CHAPS?
CHAPS is a chemical compound with CAS number 75621-03-3 and molecular formula C32H58N2O7S. It is used in various industrial and research applications.
Applications
CHAPS is a nondenaturing zwitterionic detergent for membrane biochemistry.
Useful for solubilizing membrane proteins and breaking protein-protein interactions. CHAPS’ small micellar molecular weight (6,150) and high critical micelle concentration (6-10 mM) allow it to be removed from samples by dialysis. It is also suitable for protein solubilization for isoelectric focusing and two-dimensional electrophoresis. CHAPS is commonly used for non-denaturing (without urea) IEF and has been shown to give excellent resolution of some subcellular preparations and plant proteins. Concentrations between 2-4% (w/v) are typically used in an IEF gel.
Specifications
614.88 g/mol
≥97.0%
1.01 g/mL at 20 °C
Safety Information
GHS07Warning
H315-H319-H335
P261-P305 + P351 + P338
3
