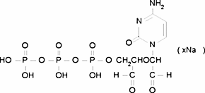
Cytidine 5′-triphosphate, periodate oxidized sodium salt

CAS Number75567-73-6
FormulaN/A
Mol. Weight481.14 g/mol
Cytidine 5′-triphosphate, periodate oxidized sodium salt
What is Cytidine 5′-triphosphate, periodate oxidized sodium salt?
Cytidine 5′-triphosphate, periodate oxidized sodium salt is a chemical compound with CAS number 75567-73-6. It is used in various industrial and research applications.
Specifications
Molecular Weight
481.14 g/mol
Assay/Purity
90-95%
Frequently Asked Questions
Alternative Names & Synonyms
C9H14N3O14P3
