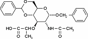
Benzyl N-acetyl-4,6-O-benzylidenemuramic acid

CAS Number74842-55-0
FormulaN/A
Mol. Weight471.50 g/mol
Benzyl N-acetyl-4,6-O-benzylidenemuramic acid
What is Benzyl N-acetyl-4,6-O-benzylidenemuramic acid?
Benzyl N-acetyl-4,6-O-benzylidenemuramic acid is a chemical compound with CAS number 74842-55-0. It is used in various industrial and research applications.
Specifications
Molecular Weight
471.50 g/mol
Assay/Purity
≥98%
Frequently Asked Questions
Alternative Names & Synonyms
C25H29NO8
