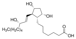
Prostaglandin F1α

CAS Number745-62-0
FormulaC20H36O5
Mol. Weight356.50 g/mol
Prostaglandin F1α
What is Prostaglandin F1α?
Prostaglandin F1α is a chemical compound with CAS number 745-62-0 and molecular formula C20H36O5. It is used in various industrial and research applications.
Specifications
Molecular Weight
356.50 g/mol
Assay/Purity
≥99.0% (TLC)
