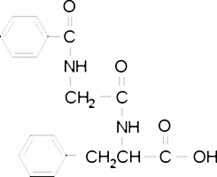
Hippuryl-L-phenylalanine

CAS Number744-59-2
FormulaC18H18N2O4
Mol. Weight326.35 g/mol
Hippuryl-L-phenylalanine
What is Hippuryl-L-phenylalanine?
Hippuryl-L-phenylalanine is a chemical compound with CAS number 744-59-2 and molecular formula C18H18N2O4. It is used in various industrial and research applications.
Specifications
Molecular Weight
326.35 g/mol
