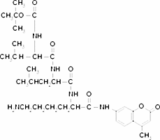
Boc-Val-Leu-Lys-7-amido-4-methylcoumarin

CAS Number73554-84-4
FormulaC32H49N5O7
Mol. Weight615.76 g/mol
Boc-Val-Leu-Lys-7-amido-4-methylcoumarin
What is Boc-Val-Leu-Lys-7-amido-4-methylcoumarin?
Boc-Val-Leu-Lys-7-amido-4-methylcoumarin is a chemical compound with CAS number 73554-84-4 and molecular formula C32H49N5O7. It is used in various industrial and research applications.
Specifications
Molecular Weight
615.76 g/mol
