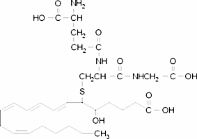
Leukotriene C4

CAS Number72025-60-6
FormulaC30H47N3O9S
Mol. Weight625.77 g/mol
Leukotriene C4
What is Leukotriene C4?
Leukotriene C4 is a chemical compound with CAS number 72025-60-6 and molecular formula C30H47N3O9S. It is used in various industrial and research applications.
Specifications
Molecular Weight
625.77 g/mol
Assay/Purity
≥92.5% (HPLC)
Safety Information
GHS02
GHS06
GHS08Signal Word
Danger
Hazard Statements
H225-H301 + H311 + H331-H370
Precautionary Statements
P210-P260-P280-P301 + P310-P311
EC Number
200-659-6
WGK Germany
2
