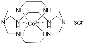
Cobalt(III) sepulchrate trichloride

CAS Number71963-57-0
FormulaC12H30Cl3CoN8
Mol. Weight451.71 g/mol
Cobalt(III) sepulchrate trichloride
What is Cobalt(III) sepulchrate trichloride?
Cobalt(III) sepulchrate trichloride is a chemical compound with CAS number 71963-57-0 and molecular formula C12H30Cl3CoN8. It is used in various industrial and research applications.
Specifications
Molecular Weight
451.71 g/mol
Assay/Purity
95%
Safety Information
GHS07Signal Word
Warning
Hazard Statements
H302-H312-H315-H319-H332-H335
Precautionary Statements
P261-P280-P305 + P351 + P338
Required PPE
dust mask type N95 (US), Eyeshields, Gloves
Melting Point
262 °C (dec.)(lit.)
WGK Germany
3
