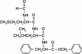
N-Formyl-Met-Leu-Phe benzyl ester

CAS Number70637-32-0
FormulaC28H37N3O5S
Mol. Weight527.68 g/mol
N-Formyl-Met-Leu-Phe benzyl ester
What is N-Formyl-Met-Leu-Phe benzyl ester?
N-Formyl-Met-Leu-Phe benzyl ester is a chemical compound with CAS number 70637-32-0 and molecular formula C28H37N3O5S. It is used in various industrial and research applications.
Specifications
Molecular Weight
527.68 g/mol
Assay/Purity
≥97% (HPLC)
