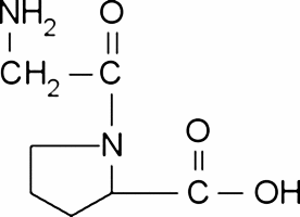
Gly-Pro

CAS Number704-15-4
FormulaC7H12N2O3
Mol. Weight172.18 g/mol
Gly-Pro
What is Gly-Pro?
Gly-Pro is a chemical compound with CAS number 704-15-4 and molecular formula C7H12N2O3. It is used in various industrial and research applications.
Specifications
Molecular Weight
172.18 g/mol
Safety Information
GHS07Signal Word
Warning
Hazard Statements
H319
Precautionary Statements
P305 + P351 + P338
Required PPE
dust mask type N95 (US), Eyeshields, Gloves
EC Number
211-880-2
WGK Germany
3
